北京谱仪 III国际合作组最近提出一种创新方法,利用正-反超子对的量子关联和级联衰变性质来研究物质和反物质不对称性,该方法提供了极其灵敏的实验探针。相关研究成果于2022年6月2日在《自然》杂志上正式刊发 (https://www.nature.com/articles/s41586-022-04624-1)。 论文引起国际同行的密切关注。这一方法的创新性在于北京谱仪III合作组研究人员发现利用正负电子对撞产生的正反超子对的量子关联性分析其衰变中宇称和电荷宇称(CP)破缺的性质,可极大提高实验灵敏度,并获得了目前最精确的测量结果。采用此方法预期在下一代超级陶粲工厂可以达到粒子物理标准模型预言的精度,进而检验CP破坏之来源和寻找可能的新物理模型。
CP对称的破缺与我们宇宙中物质-反物质不对称性密切相关。在我们周围,地球上,太阳系等都是由物质构成,这是一个众人知晓的事实。从Dirac在1928年提出描述电子的基本方程预言和物质对应的反物质存在以来,人们对反物质已有了许多了解,并已被实验观测到,而且物质与反物质能在实验室被制造出来并研究他们的特性。物质与反物质在粒子物理的层面有很多的共性,同样的质量,自旋,大小相同但是符号相反的电荷或可加性量子数等。如此相近的特性,在包含一切的宇宙中,物质与反物质应该有同样的机会而对称地存在。早期宇宙中物质和反物质会湮灭成携带他们能量的光子。宇宙学标准模型预言现在宇宙中代表物质与反物质的重子数数目和光子数目之比为10-20 ,而且重子和反重子数目应该相等,也就是说物质和反物质是对称存在的。然而我们观测到的自然界却没有发现任何原初反物质的存在。
人们不禁要问反物质到哪里去了?也许大爆炸创生宇宙时,物质和反物质确实是不对称的。但是宇宙学广泛接受的暴胀理论表明即使宇宙诞生之初有物质-反物质的不对称性,经过暴胀后宇宙将会重新设置为对称初使条件。物质-反物质的不对称性可能是在爆胀后的宇宙演化过程中产生的。Sakharov在1967年提出宇宙演化产生不对称的必要条件: 1.重子数不守恒,2.CP和P不守恒,3.宇宙演化过程存在热力学非平衡的相变。第一个条件提供物质和反物质可以互相转化,或者物质多余反物质的可能条件。标准模型和大统一模型都具有这一特性。而且在极高温的宇宙早期,可以存在较强的转换效应。第二个条件是粒子与反粒子与其他粒子在相互作用时有细微的不同,因而由演化导致了物质为主的宇宙。李政道和杨振宁在1956年发现在弱作用中空间镜像的宇称破缺,继而由Cronin和Fitch在1964年在中性K-介子混合中发现存在CP破缺现象,这是第二个条件可实现的实验室证据。第三个条件保证不对称宇宙的结果不被大爆炸产生的炙热宇宙中粒子相互作用产生的热平衡还原为对称宇宙。这类非热平衡已在实验室的不同相变现象以不同形式实现。
其实在宇宙演化过程中物质重子数与反物质重子数多出一百亿分之一(图 1),就会导致今天观测到的物质-反物质不对称的宇宙。但是这个结果会使得重子数目和光子数目之比增加十个量级,这也会造成具体建构宇宙物理模型完美实现这一演化的难度,人们在这方面已作出了很多努力。在宇宙学和粒子物理学研究中CP破缺机制是人们最为关切的方向之一,北京谱仪III合作组发表在《自然》的论文提出了利用超子的量子关联和级联衰变来研究CP对称破缺的极其灵敏的创新实验方法,并获得目前最精确的测量结果。

图 1. 百亿分之一的不同重子和反重子会导致物质为主的宇宙
粒子物理标准模型中CP破缺唯一地出现在传递弱相互作用的W玻色子和U-型和D-型夸克的相互作用中,

这里U=(u,c,t), D=(d,s,b)。上式中含 γ5的项破坏宇称对称性,VKM 是由Kobayashi-Maskawa发现的携带CP破坏相位的不同夸克间的混合矩阵

sij=sinθij,和 cij=cosθij描述不同夸克味空间的旋转。δ是CP破缺的源(又称CP相位)。
文献中常用以下混合角和CP相位的表达方式

图 2. CP相位的精准确定
实验已从CP守恒的过程以及CP破缺的过程获得大量信息,比如中性K-介子混合,K到π π,π π π衰变,B到Kπ等的所有数据,能够很好地确定VKM 矩阵中的参数,如图 2所示。因此人们对标准模型CP破缺已有了充分了解。
但是当人们解释宇宙物质-反物质不对称性时发现标准模型完全无能为力,需要提高十个数量级才能达到解释宇宙物质-反物质不对称性程度,原因之一是标准模型能提供的CP破缺太小。我们需要发现新的CP破缺的机制来提高重子数破坏的量级,这是一个标准模型外新物理的重要线索。因此进一步用新的实验过程研究CP破缺是当今粒子物理和宇宙学的重要课题,一方面发现新的CP破缺机制,另一方面进一步检验标准模型的预言。 北京谱仪 III国际合作组利用超子的量子关联和级联衰变研究物质和反物质不对称性,是极其灵敏的创新实验方法,是在CP破缺研究方向的重要突破,因此引起该领域国际同行的密切关注。
超子在粒子物理发展历史中有独特的地位。第一个超子是1947年在宇宙线实验观测到,1951年在实验室中被确认。后来被称作∧ 超子。它比当时已知的质子和中子要重,并会通过弱相互作用衰变成一个质子或中子加上一个π介子。但是总是正-反∧ 超子成对在实验碰撞被产生出来。人们发现有必要在重子的特性中引进新的量子数,奇异数,以区别于大家熟悉的质子和中子。之后又发现一些新的含不同奇异数的超子Σ,Ξ 等。超子作为这类粒子的正式名称是1953年在Bagneres de Bigorre 召开的宇宙线会议上决定的。超子是含奇异数的重子(图 3)。1961年Gell-Mann和Ne’eman进而分别发现质子,中子和超子可由SU(3)对称群的八重态表示,也发现存在新的十重态可将新发现的一些重子很好地归类,并且很快实验证实了预言的Ω子(含有三个奇异夸克)的存在。最终1964年Gell-Mann和Zweig分别发展了现在由夸克作为基本组成单元有规律地形成强子的物理模型。由三个s夸克构成Ω 的粒子使人们认识到夸克需要引进三种颜色的自由度,为用SU(3)C描述强相互作用建立了基础。这是粒子物理发展很辉煌的一个时期。

图 3. 含奇异数的一些典型超子
粒子物理标准模型的基本作用是由SU(3)C ×SU(2)L× U(1)Y规范群决定,希格斯场对称自发破缺将规范群破缺到SU(3)C × U(1)em。除了对应的传播规范群相互作用的玻色子,胶子,W,Z和光子,以及对称破缺相关的希格斯粒子h外,其他的基本粒子包括:夸克(u,c,t,d,s,b),带电轻子(e, μ, τ) 以及对应的中微子(ve, vμ, vτ)。再由一对正-反夸克构成自旋为0的介子,以及三个价夸克组成的自旋为1/2的重子,在介子和重子中也含有所谓的成对的正-反夸克和胶子。
在标准模型中超子衰变的本质是由交换W玻色子的s -> u 的转变引起,对这类衰变的研究可获得非常可贵的关于宇称破缺信息。其实1956年李政道和杨振宁发现宇称不守恒的文中就指出超子衰变是进一步验证宇称破缺的候选实验过程。他们指出超子自旋为1/2,而可被极化,如果衰变破坏宇称守恒规则,π沿极化方向飞出和反方向飞出的几率会不一样。这一预言很快被实验证实。s -> u 转变过程在标准模型中正比于Vus,因此超子衰变也是精确决定这一标准模型参数的重要过程,当然超子衰变也是研究CP破缺的新的重要过程。
前面已提过CP破缺已在中性K-介子混合,K到π π,π π π,B到Kπ等过程中观测到,前几年在D到π π衰变中也观测到。但是目前为止还没有在重子衰变过程中观测到CP破缺现象。但是标准模型预言重子衰变过程中一定存在CP破缺现象,只不过是实验还未达到要求的精度问题。如果实验发现大于标准模型预期的CP破缺现象,也许能反过来追踪发现宇宙中物质-反物质不对称的物理模型。如果在小于标准模型预期值时还没有发现超子衰变的CP破坏现象,这也对标准模型提出了新的挑战。因此北京谱仪III国际合作组提出的极其灵敏的创新实验方法是非常重要的一步。
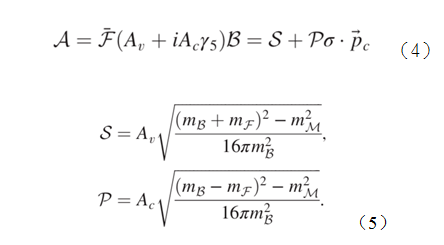
在介绍北京谱仪III合作组的方法时,有必要了解超子B衰变成另一个重子F加上一个π介子的过程中,B -> F π,描述CP破缺的几个物理观测量。这个过程的衰变振幅可以写为

这里 pc是F重子在质心系的动量。mi 是 i 粒子的质量。Av和Ac分别是宇称破缺和守恒衰变振幅。除了衰变宽度Γ = 2pc(|S|2+|P|2 )外,这一衰变过程中因为超子衰变出的重子有自旋,可从衰变部分获得各种粒子的极化信息,构造与极化相关的物理观测量,

这里sB和sF是B和F粒子的自旋矢量, n是F的动量方向, dΩ=dcosθdφ 是衰变相空间的立体角变化。α, β, γ是粒子沿着特定方向的极化率,它们与S和P振幅的关系如下

这三个量满足: α2+β2+γ2=1.
文献中也常用:

反超子衰变也可类似地被参数化。通常在相关物理量上加一杆,

上式负号的出现是因为S振幅破坏宇称对称性。其它量通常都对应地改为

如果CP是守恒的,将会有

相反如果CP对称性被破坏了, 同时测量粒子和反粒子衰变的物理观测量,人们可建构CP破缺观测量,

CP破缺怎么会在衰变振幅中出现呢?以下将以标准模型为列描述。
标准模型中超子的衰变振幅有树图T和圈图P的贡献 (参看图4)

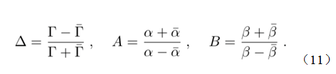
以上KM矩阵元Vij已分离出来凸显它包含CP破缺信息。Vij复数的相位在粒子和反粒子衰变中改变符号。Ti和Pi包含强相互作用把夸克组合成强子的信息,它们可以是复数,但在粒子和反粒子衰变中这些复数的相位不改变符号,是CP守恒的量。标准模型CP破缺源δ不为零,导致粒子和反粒子的衰变振幅不相等,因而使得Δ,A和B在一般情况下不为零。如果有新物理的贡献,CP破缺就不仅仅由KM矩阵提供,会得到不同的预期值。
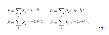
为了反应弱和强作用引起的不同效应,人们通常将弱和强作用相位凸显出来写为

这里j标记不同的可能贡献,比如不同同位旋振幅。 ξ和δ分别是CP破缺和守恒的相位。 Δ正比于

A和B正比于

因此要得到Δ不为零,必须存在两个或以上S或P振幅,然而A和B不为零需要同时存在S和P振幅,但是有一个不为零即可。

图 4. 第一图是所谓的树图。其余为企鹅和盒子圈图
理论预言CP破缺效应关键在于怎么将图4得到的夸克层次的有效哈密顿量

转化为强子衰变振幅Av,c,~ <F|Heff(ΔS =1)|B>. 这里Qi是图4不同图对应的4-夸克算符。比如树图产生的Q1是

标准模型CP破缺效应在超子衰变的理论计算由Donoghue和Pakvasa1985年最早开发。当时人们对标准模型解释中性K-介子混合中的CP破缺现象也有了比较清楚的正面结论,但是对K衰变到π π和π π π中的直接CP破缺εˊ/ε 观测量计算还不是很确定,实验测量也没有结论(实验测量直到本世纪之交才由欧洲粒子物理中心的NA48(2002)和费米实验室的KTeV(2003)实验测量到),当时用b夸克衰变研究CP破缺的B工厂实验还杳无音信。因此需要发掘更多可验证标准模型的CP破缺机制。那时我还是在夏威夷大学攻读博士的学生。他们邀请我参与。当时我已完成了一个关于在可能的第四代夸克怎么寻找CP破缺的工作,对此类问题有相当的了解,所以很快就进入状况并在1986年年初用QCD口袋模型以及手征理论结合实验获得的Ti和Pi 相位完成了当时最好的对∧ ,Σ和Ξ 等超子衰变中CP破缺的理论计算,同时也对标准模型外一些重要模型进行了计算。标准模型计算结果如下

可以看到 Δ比A和B的值都要小两个量级,因此人们在测量超子的CP破缺效应时对A和B比较关心。
2003年Tandean和Valencia用手征理论又对Ti和Pi相位做了补充。得到类似结果。30多年已过去了,当时的计算结果变动不大。希望格点QCD规范理论能在不远的将来对超子CP破缺效应能做出更精确的计算。
实验物理学家对测量超子衰变中的CP破缺效应在当时被调动了起来。首先是费米实验室在1997年启动了HyperCP实验。在欧洲粒子物理中心九十年代初也推动过超子CP破缺实验,但是最终由于经费问题没有启动任何实验。超子能在对撞机很容易产生出来,但要达到标准模型要求的数目是极具挑战的任务。费米实验室的HyperonCP实验利用对固定靶产生了1.17×108Ξ和 0.41×108反粒子Ξ+。通过分析Ξ -->pπ-π-实验能够测量AΞ∧=AΞ +A∧ 并得到

虽然这一实验比以前的实验精度提高了20倍,但还是没有观测到不为零的值。离标准模型预言的精度还差有两个数量级。
北京谱仪III近几年也开始挑战超子CP破缺效应的测量。2019年实验组从积累的大量J/ψ衰变得到的∧0衰变数据得到A∧ = -0.006 + - 0.012 (stat) + - 0.007 (syst),也没有观测到超子衰变的CP破缺效应。
实验测量,精度是关键。需要有新的方法将精度极大提高才能有效地达到检验标准模型的目的。 北京谱仪III国际合作组发表在《自然》的创新方法为达到这一目的找出了很有希望的路径,将突破超子CP破缺机制研究的瓶颈。
北京谱仪III合作组的创新方法是利用e+e-对撞机在能量阈值处产生大量的J/ψ粒子,这些粒子衰变到Ξ- Ξ+ 正反粒子对,它们衰变成∧0 π-(如图 5.所示),∧0 再衰变为pπ-以及对应反粒子衰变过程,获得相关的CP破缺观测量。

图 5. Ξ- 衰变到∧0 π- 和相关粒子极化方向示意图
由于Ξ- Ξ+ 都来自J/ψ,它们会处于自旋为1,C宇称为负的量子纠缠态。这样Ξ- 和 Ξ+ 超子衰变的CP破缺物理量可以同时被测量。考虑成对的正反超子级联衰变,再加上超子的极化信息,可以把强力和弱力的贡献分开,导致对 CP 破坏测量的敏感度显著提高。同时由于∧0 和它的反粒子也在探测器里衰变,因此也能同时测量∧0 相关的物理量。
Ξ- ->∧0 π ,是同位旋改变为1/2为主的衰变,这样方程(13)的S和P振幅和相位都只有一项s, p, δs, δp, ξs, ξp,在这样的近似下可得到

这里<αΞ >表示粒子和反粒子的平均值。
这样通过从J/ψ衰变来的量子纠缠的正-反Ξ 以及正-反∧粒子对的衰变过程,不仅能精确AΞ 测量和A∧ 也能测量到CP破缺相位差ξp- ξs 和 ΔϕCP。利用在北京谱仪 III 已积累的1.31×109J/ψ,合作组获得了非常有意义的初步结果。以下列出与CP破缺相关的物理量测量值,

A∧ 的测量精度达到了现有的最好精度。另外三个量AΞ , ξp- ξs , ΔϕCP 都是第一次被测量。虽然还没有测量到不为零的CP破缺效应,合作组已非常出色地证明了他们发展的新方法确实可行。
北京谱仪将升级提高三倍的亮度,到时将会积累更多的J/ψ可用于获得更多衰变的信息。但是离标准模型的预期值还会有一段距离。中国现在正讨论建设亮度为1035cm-2s-1的超级陶粲工厂的可能性,和现有北京谱仪III相比,它将提高两个量级的J/ψ产生率,加上探测技术的提高,北京谱仪III合作组发明的利用超子量子关联衰变研究CP破缺的极其灵敏的创新实验方法极有希望到达到标准模型预期的CP破缺效应范围,进一步检验标准模型。也许会幸运地发现远大于标准模型的预期值,发现新物理,解决宇宙中物质和反物质的不对称性的世纪难题。我们拭目以待。

